Решебник Чудесенко - все решения задач из сборника Чудесенко

Добавить в избранное

Решены ВСЕ задачи из "Сборник заданий по специальным курсам высшей математики" Чудесенко В.Ф. 1983 (1994) и 2005-2009 гг:

  • 1. Теория функций комплексного переменного и операционное исчисление
  • 2. Теория вероятностей и математическая статистика
  • 3. Уравнения математической физики
    Если какого-то решения пока нет в магазине или вам надо очень много решений - заказывайте со страницы: заказ задач по математике.

     
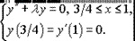
    Название товара: Решение задачи 1.6 из раздела 3 УМФ автор Чудесенко ВФ
    Цена: 0.75 $
    Скидки: На товар предоставляется скидка постоянным покупателям.
    Товар: chud_3_v06_01.zip (41868 байт)
    Загружен: 14.08.2012
    Описание товара:

    Решение задачи 1.6 (задача 1 вариант 6) по высшей математике из раздела: Уравнения Математической Физики (УМФ). Задачник: Чудесенко В.Ф. Сборник заданий по специальным курсам высшей математики (типовые расчеты). — Москва: Высшая школа. Решение подходит для изданий: 1983 (1994, 2005-2009) гг..
    Дополнительная информация: После оплаты вы получите архив zip. Решение выполнено в электронном виде и сохранено в виде картинки в формате tif. Открывается любой программой. Разрешение 300 dpi. Решение неоднократно сдавалось в ВУЗах России. Все недочёты исправлены.

    Буду очень благодарна, если Вы оставите ПОЛОЖИТЕЛЬНЫЙ ОТЗЫВ после покупки.
    СПАСИБО!
    Статистика: количество продаж: 24
    количество возвратов: 0
    отзывы покупателей:
    положительных - 0
    отрицательных - 0